
麥克默瑞提克(上海)儀器有限公司
金牌會員
已認證
質子交換膜燃料電池(PEMFCs)由于其高能量密度、低污染物排放以及溫和的工作條件,被視為可再生清潔能源中的重要代表。對質子交換膜燃料電池而言,電解質材料的質子傳導性是制約該技術使用的關鍵因素,設計制造具有高質子傳導性的電解質材料,是質子交換膜燃料電池走向實用化的重大挑戰!
表1. 各種MOF和Nafion膜的質子傳導性對比

問題在于:目前所開發的大部分材料雖然在較高的濕度下具有良好的質子傳導性,但是在相對濕度較低的情況下,質子傳導性會急劇下降。
有鑒于此,北京工業大學李建榮教授和美國德州大學San Antonio分校陳邦林教授等人合作報道了一種化學穩定的柔性MOF材料,在較寬的濕度和溫度范圍下可保持較好的質子傳導性。
圖1. But-8(M) (M=Cr, Al)的結構以及But-8(Cr)離子交換性能

研究人員利用硫酸對預先合成的BUT-8(Cr)材料進行后處理修飾,處理后的MOF材料取名為BUT-8(Cr)A,是一種具有一維孔道的三維框架結構。其特點在于,一維孔道表面具有豐富的磺酸基位點(-SO3H),極大地促進了質子傳遞。

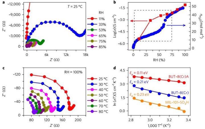
圖2. But-8(Cr)A的質子傳導性
研究人員認為,該材料的柔性結構以及豐富的-SO3H位點,允許其在不同濕度環境下自適應框架以確保質子在水分子的輔助作用下,傳遞路徑保持暢通。因此,和其他MOF相比,這種含有高密度-SO3H的柔性MOF不僅在100%RH,80℃條件下具有高達1.27X10-1 S cm-1的質子傳導性,而且在較寬的濕度和溫度范圍內都不會發生急劇降低,可維持在較高傳導性狀態。

圖3. But-8(Cr)A優異質子傳導性能可能的機理
Fan Yang, Gang Xu, , Jian-Rong Li,Banglin Chen et al. A flexible metal–organic framework with a high density ofsulfonic acid sites for proton conduction. Nature Energy2017.
DOI:10.1038/s41560-017-0018-7
http://www.nature.com/articles/s41560-017-0018-7
-轉自納米人
相關產品
更多
相關文章
更多
技術文章
2025-11-06技術文章
2025-09-25技術文章
2025-08-13技術文章
2025-08-06