
麥克默瑞提克(上海)儀器有限公司
金牌會員
已認證

麥克默瑞提克(上海)儀器有限公司
金牌會員
已認證
IAST 全稱 Ideal Adsorbed Solution Theory,即理想吸附溶液理論,是一種可用于描述雙組分混合氣體吸附的理想模型。隨著近些年對多組分,特別是雙組分氣體吸附體系的研究,比如氮氣/氧氣系統、乙烷/乙烯系統、甲烷/二氧化碳等混合氣體的分離技術的關注,利用單組分氣體物理吸附等溫線,結合 IAST 理論,就可以簡單預估雙組分混合氣體的吸附選擇性。
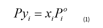
IAST 的核心思想,是將吸附平衡時吸附劑表面的吸附層混合物看作是理想混合溶液,混合吸附層內各組分活度為 1。同時引入拉烏爾定律,這里有:

這里 P 為混合氣體總壓,yi 為氣體組分 i 的氣相摩爾分數,xi 為吸附層混合物中組分 i 的摩爾分數。Pio 為純物質 i 在吸附平衡時的氣體壓力,此壓力在吸附劑表面產生表面擴散壓 π 與混合氣體中組分 i 在吸附劑表面產生的擴散壓 π 相等。
如果大家看過之前的應用筆記,應該對吉布斯 Gibbs 吸附等溫線式還有印象。
通過 Gibbs 吸附等溫式,我們有:

上式中,A 為吸附劑比表面積,T 為吸附溫度,nio 為純物質 i 的等溫吸附量。nio = f(Pio),f(Pio) 即是純物質 i 的吸附等溫線,i 可以是氮氣、甲烷、氧氣或烷烴等等。式(1)和(2)為 IAST 理論的核心公式,通過它們,我們就可以計算雙組分混合氣體的吸附選擇性。
分析案例
為此,這里選取了一種沸石材料,用于分離氮氣(組分1)和氧氣(組分2),以此作為計算分析案例。氮氣和氧氣混合氣體的總壓為 760 mmHg,需要計算氮氣摩爾分數為 0.79 時,其沸石材料的吸附選擇性。
首先,我們可以分別對氮氣和氧氣的吸附等溫線做模型擬合(見圖1)。吸附劑為此沸石材料,吸附溫度皆為 25 攝氏度。

圖 1. N2(藍)和 O2(橘)吸附等溫線
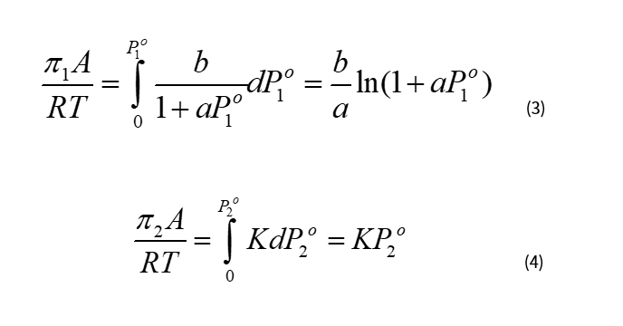
通過機理考察和模型選擇,發現氮氣吸附可用 langmuir 模型擬合,氧氣吸附符合亨利定律,結合式(2)我們有:

其中 a,b 為 Langmuir 常數,和吸附體系有關。K 為亨利系數。
將式(3)和(4)畫到一個圖例,可得雙組分混氣的 IAST-(πA/RT)圖(見圖 2)。

圖 2. N2(藍)和 O2(橘)于沸石吸附劑的 (πA/RT) 圖
有了(πA/RT)圖,通過作圖法,在已知總壓為 760 mmHg,氮氣摩爾分數為 0.79 時,就可以得到 P1o(N2)和 P2o(O2),而選擇性 S1,2 就等于 P2o/P1o,作圖法的基本思路如下:

圖 3. 作圖法計算選擇性

圖 4. 作圖線條
根據圖 4,只要找到一個 πA/RT 值,使得線段 DE 比線段 FE 等于0.79,此時得到的 P1o/P2o 即為此沸石吸附劑在所設定實驗環境下對 N2/O2 的吸附選擇性。
如何得到圖 4 中綠線的位置,我們可以通過解析法(由吸附等溫線擬合方程以及圖 4 中由所有點坐標計算得到的直線 FB 和 CE 方程可求)或試差法(由吸附等溫線擬合方程可求,見圖 5 )計算得到。

圖 5. 利用 Excel 設置不同的 πA/RT 值
最后,通過 P1o/P2o,我們得到在總壓 760 mmHg 下,氮氣摩爾分數為 0.79 時,此沸石吸附劑對氮氣/氧氣的選擇性數值為 8.02。當變換總壓,改變某組分摩爾分數時,我們可以通過 IAST 理論,計算估計新的選擇性數值。
Micromeritics 目前的 3Flex 軟件已具有 IAST 計算模塊,可以便捷的計算得到雙組分氣體吸附的選擇性,IAST 模塊包含 Langmuir、Sips、Toth、VTTE 等多個吸附等溫式,用于實驗數據擬合,同時 IAST 計算界面允許輸入混合氣體總壓,方便模擬不同壓力環境。
相關產品
更多
相關文章
更多
技術文章
2025-11-06技術文章
2025-09-25技術文章
2025-08-06技術文章
2025-07-09