
麥克默瑞提克(上海)儀器有限公司
金牌會員
已認證

麥克默瑞提克(上海)儀器有限公司
金牌會員
已認證

工業領域中,許多工藝過程都涉及液相對固相的潤濕過程,比如涂料行業里的固液混合及分散,噴涂行業里的固體表面涂覆,食品加工業里的固體材料的浸漬等等。這些潤濕步驟對成品的質量起到關鍵性的作用。
真空潤濕性,是指材料在接近絕對真空的條件下,其固態表面可被潤濕的程度。在接近真空的環境下,原本夾帶空氣的聚集顆粒,可以被更好地分散成單個一次顆粒,從而增大其潤濕接觸面,提高其潤濕性。比如在高真空度下,分散并潤濕二氧化硅顆粒。

圖1.顆粒聚集體的真空潤濕
另外在鋰電行業,提高真空度,可以排出氣泡,讓電解液倒吸至多孔電極表面,并更好地潤濕電極。而在毛細管流孔徑分析過程中,也需要先準備一個真空環境,并在此環境下讓潤濕液流過孔道。所以,固體材料的真空可潤濕性也是一個重要的物理性質。
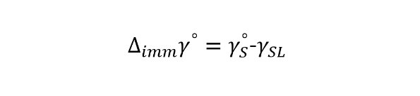
一般我們將真空下的可潤濕性記作:

其定義如下:

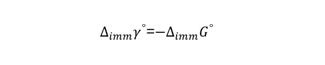
上式中,γos 為固體在真空下的表面張力(也稱表面能),γSL 為被潤濕后的固體表面張力。△immγo也可以稱為真空潤濕功,其負值為真空潤濕過程的吉布斯(Gibbs)自由能,即:

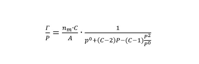
其實我們通過氣體物理吸附等溫線,結合 Gibbs 吸附等溫線,可以理論計算出固體材料的真空潤濕功。Gibbs 吸附等溫式如下:

上式中,π 為吸附質在吸附劑表面的擴展壓,其為吸附前后,固體表面張力值的變化:π = γos-γSG。Γ 為表面剩余濃度,在常壓范圍內的吸附過程中,Γ=na/A,na 為累計吸附量,A 為固體的表面積,P 為吸附絕對壓力。
我們選取了兩種負載金屬的催化劑和一種鋰電負極碳材料進行了計算。它們的吸附等溫線都是典型的 II 型等溫線,可以用 BET 吸附等溫線描述。見下圖:

圖2.兩種催化劑(A與B)和碳負極材料C的等溫吸附線,催化劑B含有介孔結構
催化劑 A 和負極材料 C 使用了 ASAP 2460 測試,含介孔的催化劑 B 使用了 Tristar II plus 3030 測試,皆為 77K 下的氮氣吸附。

Micromeritics Tristar II plus 物理吸附儀
結合BET吸附等溫式,我們可以得到:

P0 為 77K 下液氮的飽和蒸汽壓:760 mmHg,nm 為單位質量 BET 單層飽和吸附量,C 為 BET 方程常數,A 為材料的 BET 比表面積。這里的這些參數皆可以由麥克分析軟件中的 Autofit 分析報告給出。當確定上式右邊的形式后,在進行吸附壓力 0 至 760 mmHg 的積分,便可求出 π(P0)。

圖3. Autofit報告及相關參數
當對材料 A 計算值時,可見隨著吸附壓力上升,π 值增大,說明隨著氮氣的吸附,材料的表面能不斷降低。

圖4. 催化劑A的擴展壓-吸附壓圖
由于 BET 方程的特性,積分項在 P=760 mmHg 處會發散,故取壓力接近 760 mmHg 的值作為積分上限。發現隨著壓力接近 760 mmHg,值趨于固定。

圖5. 催化劑 A 的 π 值隨著壓力接近 760 mmHg 的變化
采用同樣的辦法,也可以計算出催化劑 B 和碳材料 C 的擴展壓。需結合 Young 氏方程:

上式中,γ 為在氣相平衡下的潤濕液體的表面張力,θ 為接觸角。我們假設 II 型等溫吸附中,多層吸附層為液化的吸附質,如液氮。接觸角為 0 度。
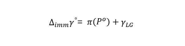
通過 Young 氏方程,擴展壓和真空潤濕功的定義,我們可以得到:
表 1 列出了三個材料計算得到的真空潤濕性和 BET 的 C 值。

表 1 列出了三個材料計算得到的真空潤濕性和 BET 的 C 值。
表1. 催化劑 A&B 以及負極碳材料 C 的真空液氮潤濕功和 C 值

從表 1 可以看出,催化劑 A 和 B 的真空潤濕功較為接近,其 C 值也接近。而負極 C 材料的潤濕功最大,其 C 值也大很多。說明催化劑 A 和 B(皆為氧化鋁負載金屬催化劑)對液氮的潤濕能力接近,但要弱于負極碳材料 C。BET 的 C 值也正是反映吸附質與吸附劑的作用力強弱,從中我們也可以看出,液化的吸附質的潤濕能力與其氣態相被吸附的能力呈正相關。
如果將吸附質換成其他氣體或蒸汽,亦可以研究固體材料對各種其他潤濕液體的真空可潤濕性,對于工業生產和研發領域相當重要。Micromeritics 的 3Flex 三站全功能型多用氣體分析儀就非常適合做各種氣體和蒸汽吸附。

Micromeritics 3Flex 三站全功能型多用氣體分析儀
最新動態
更多