
麥克默瑞提克(上海)儀器有限公司
金牌會員
已認證

麥克默瑞提克(上海)儀器有限公司
金牌會員
已認證
之前我們介紹了 BJH 理論的修正方法,為吸附層厚度計算開了個頭。在我們 part 2 中,將為大家詳細介紹幾種 t-plot 和 BJH 方法中常用到的吸附層厚度計算模型。
點擊此處回顧內容:
大家知道,對于有孔材料,吸附層厚度不再隨吸附量的遞增而簡單線性上升,比如以下微孔和介孔的 t-plot 圖。

圖1. 微孔與介孔 t-plot 圖
這些吸附層厚度隨吸附量變化的曲線是依據幾個吸附層厚度計算模型得出的,大家在part 1 中應該已經見過了(見下圖紅框內):

圖2. 軟件自帶膜厚計算模型
其中 Reference 是用戶自定義吸附厚層度與相對壓力 p/p0 的關系,由于 p/p0 和平衡吸附量的關系由等溫吸附曲線描述,故吸附厚度層與平衡吸附量的關系也既得出。Kruk-Jaroniec-Sayari(KJS)方法在 Part 1 中已介紹過,這里 KJS 吸附層厚度模型也是用于對 BJH 方法修正的 KJS 方法之中,可針對 MCM-41、SBA-15 類型材料的孔結構分析。
Halsey 方程是 BJH 方法中最常用的吸附層膜厚計算模型,此模型假設單層吸附液膜和液態吸附質有著相同的密度和堆積方式,并且適用于較高的相對壓力區域(多層吸附區域)的分析。

其中 t 為吸附層液膜厚度,3.54 和 5.00 為經驗數值,指數 1/3 由 Lennard-Jones 勢函數積分后推導出。
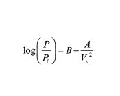
而 Harkins & Jura 方法對于凝聚的吸附質先建立起了相對壓力和平衡吸附量的線性關系:

有上述線性關系可以得到 A 與 B 值。對于不同的吸附劑-吸附質體系,A、B 值各不同,一般經驗上取 A 為 13.99,B 為 0.034 帶入如下吸附層厚度計算公式:

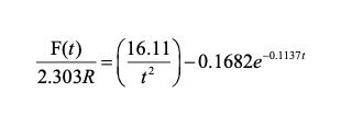
Broekhoff-de Boer 理論假設吸附層厚度的增減不僅與吸附質相對壓力的大小有關,還與達到穩定平衡的吸附層自身化學勢有關。平坦吸附劑表面穩定的吸附層化學勢比液化的吸附質化學勢要低,其兩者差值由函數 F(t) 描述,而且在達到平衡時,平坦表面吸附的吸附質化學勢與氣態吸附質化學勢相等,所以我們可以得出:

對于氧化物,氫氧化物材料的多層氮氣吸附,當吸附層厚度大于 5 埃時,我們有 Broekhoff-de Boer 經驗式:

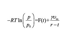
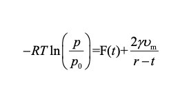
這樣,我們就將 F(t) 與相對壓力(p/p0)和吸附層厚度 t 聯系了起來,從而可以繪制 t-plot 曲線。對于介孔中存在彎曲液面的情況,吸附劑孔道表面穩定的吸附層化學勢與宏觀液化的吸附質化學勢的差值- RTln(p/p0)可以等于:

(對于圓柱形孔)
或

(對于球形孔)
其中 γ 為吸附層的表面張力,νm 為吸附質氣體的摩爾體積,r 為孔半徑,t 為吸附層厚度。
最后,carbon black STSA(Statistical Thickness Surface Area)是一個測量炭黑材料總表面積和外表面積國際標準,是結合了炭黑材料本身特性和 Broekhoff-de Boer 理論的方法。這個方法先用 BET 方法測量炭黑材料的總表面積,然后可利用 Broekhoff-de Boer 理論繪制炭黑材料的 t-plot 圖,通過 t-plot 圖上平坦區域的斜率得出炭黑材料的外表面積,最后就可算出炭黑材料的內表面積和總孔體積。

圖3. 微孔t-plot圖(如多微孔炭黑)
相信到這里,大家對吸附層厚度計算公式及理論已經有了一定的了解,下次選擇對材料進行 t-plot 和 BJH 方法分析時,可不要選錯了吸附層厚度計算模型哦。
最新動態
更多